漯河市临颍县南街学校初中线上与线下教学案例融合分析
漯河市临颍县南街学校初中线上与线下教学案例融合分析
一、 利用线上课程资源,将线上线下教学融合
初中教材中公式的推导过程我们可以有效的利用线上与线下有机融合教学模式,可以高效提高课堂教学,并且可以有效的拓展学生的知识面。
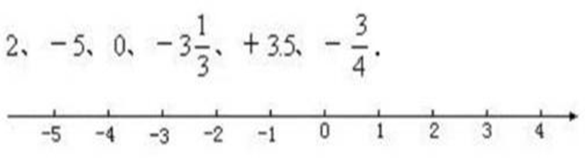
例如讲解《数轴》时,让学生利用网络自主查询,线下教学时候学生以小组形式进行展示。线下教学时老师又带领学生进行了练习,使学生更系统的学习,练习过程如下:

在所给的数轴上,画出表示下列各数的点。
分析:第一步画数轴,第二步在数轴上找出相对应的点,每个正有理数都可用数轴上原点右边的一个点来表示,例如 2、3、5 可用数轴上分别位于原点右边 2 个单位长度,3 个单位长度和 5 个单位长度的点表示,每一个负有理数都可用数轴上原点左边的一个点来表示。

说明:数轴上表示数的点可用大写字母标出,写在数轴上方所对应数的上面,原点用 O 标出,它表示数 0。数轴上原点的位置要根据需要来确定,不一定要居中。单位长度应根据需要来确定,1cm 的长度可以表示 1 个单位长度,也可以表示 2 个,5 个,10 个等单位长度,但在同一数轴上,单位长度必须一致,不可随意改变。
通过线上与线下教学有机融合的这种学习模式学习数轴提高了学生学习的积极性,从而对数轴有了更深的了解。
再如,七年级上册地理讲到地球运动对地理环境的影响的时候,让学生回家在网上搜索并观看地球公转的讲解视频,通过观看让学生试着自己总结。在这个基础上,回到教室中,老师再进行讲解,学生会更好的理解,也可以有效把握本节课的重难点。
二、 利用微课视频,将线上线下教学融合
微课是资源容量较小、时间较短的网络视频课程。以 10 至 20 分钟的网络课程视频为主要的形式,视频课程内容针对某一知识点或者知识小节展开探究。微课主要是应用在课前预习、课中教师辅导疑难和课后复习巩固。因此,它为学生的课前预习、课中教师辅导疑难和课后复习巩固创造了便捷条件。微课在课堂教学过程中的讲解和演示
中能起到很好的激发学生的学习兴趣的作用。微课教学具有很强的共享性和便捷性能,为学生自主学习提供充分的动力和支撑。
例如,人教版七年级上册语文名著阅读《骆驼祥子》的教学,为了调动学生的学习兴趣,帮助学生对名著主要内容和知识点有确切和针对性的把握,在备课时,教师根据学生的特点和《骆驼祥子》名著的特点,将知识点展开针对性的、直观的呈现和展示,制作了微课视频《骆驼祥子》阅读指导之作者背景篇、情节构思篇、人物篇、主题探究篇四个微课,每个微课时长在 10 分钟左右,在钉钉平台上课时还运用在线答题环节、连麦环节等等组织安排教学活动。在线下教学中,教师以《骆驼祥子》阅读指导的微课中重点内容导入,提出以下问题:“1.围绕祥子讲述了哪些故事?2.祥子前后有什么变化?3.造成祥子前后变化的原因是什么?”针对以上问题, 接下来让学生以小组形式展开讨论和探究。这样将线上教学中存在的疑惑在线下课堂中进行讨论和探究。并结合学生的学习能力和学习的难易程度,在课堂最后结合线上线下的综合情况给学生再次进行知识点的梳理,确保学生对名著的掌握透彻深入。最后,给学生布置课后作业。
三、 利用录播回放,将线上线下教学融合
线上与线下教学的有机融合, 有利于更好的掌握教学的重难点,线上教学可以作为我们线下教学的补充,比如,我们在学习七年级上册第一章《有理数》专题时,上课有的学生接受的慢,有的学生胆小课下又不敢问老师,那么老师可以通过录播,将视频上传到钉钉上,掌握不好的同学可以无数次的回放,无数次地听讲。从而更好的掌握
所学习的知识,增强了孩子们学习数学的信心。
又如,在七上地理课中讲到经线和纬线的时候,很多学生方向感不强,经线和纬线分开讲的时候也能听懂,做题的时候老是把两者弄混。对于这种情况,老师把典型例题的讲解过程拍成小视频,让学生反复观看,课后再布置一些类似的题,效果好很多。